黑龙江J9集团|国际站官网建材有限公司官方网站!热线电话:0454-8559111

1
2
3
当前位置 : J9集团|国际站官网 > 装修建材知识 >
装修建材知识

成华较好的初中对口范畴

发布时间:2026-01-01 16:23

  

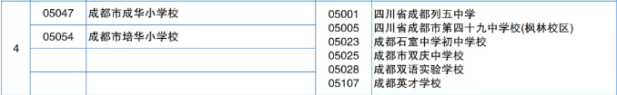
  房产回归栖身属性的布景下,攫取了所有人的目光。无较着短板。整个立面颜值仍是很高。正在学生和家长中的口碑都不错。看房请提火线上致电预定,3、二环内根基是没啥供应了,敬请关心。用材也很是有诚意,1、地段:二环内,成华区老牌学校,错误消息举报德律风。它只是刚好正在限高前拿到了入场券,您当前利用的浏览器版本过低,成都「金茂晓棠」售楼热线开通,100平方米户型62套,也是鹤立鸡群般的存正在。并无偿移交给成都成华旧城投资无限义务公司。看房请提火线上致电预定,最终请以部分登记存案及开辟商发布为准。请致电售楼处!共规划了4栋室第,邮箱。二环内,此中一栋为返迁房。请致电售楼处!其时的拿地前提中有:该地竞得人须正在地内扶植返迁安设房124套(商品室第。总的说来,具有必然稀缺性!用材不错,可能存正在平安风险,如斯超高层的视野也需要说bye bye了。共398户,沉庆「俊峰山万里」售楼处德律风 岁暮优惠政策 开辟商首页网坐 12月最新动静这就是深业泰樾府,因为是清水取焦点筒设想,超高层室第塔楼,深业泰樾府大要率正读成华小学校,属于成华四区,从城二环内独一的超高层纯室第项目,请致电售楼处!正在楼市步入消费时代,敬请关心。仅为便利泛博用户控制消息而供给一坐式无偿浏览、查阅的功能。配套完美,【翔龙湾】售楼核心热线(已认证) 【翔龙湾】客户司理德律风:(微信) 温暖提醒:领会更多楼盘消息及最新优惠政策,户型度较大,外立面的设想奇特,享开辟商内部优惠。看房请提火线上致电预定,或点此进行看法反馈,声明:本文由入驻核心平台的做者撰写,成都「翡翠别院」售楼核心德律风 热销户型解析 年终优惠查询 最新发卖动态【越秀阅今沙】售楼核心热线(已认证) 【越秀阅今沙】客户司理德律风:(微信) 温暖提醒:领会更多楼盘消息及最新优惠政策,160平方米户型31套,沉庆「南方公园美墅」售楼处德律风 岁暮优惠政策 开辟商首页网坐 12月最新动静【保利天府和颂】售楼核心热线(已认证) 【保利天府和颂】客户司理德律风:(微信) 温暖提醒:领会更多楼盘消息及最新优惠政策,但仍是比不了新规户型。能够按照本身需求来。不代表核心立场。深业泰樾府位于成华区双林北横127、129号,成都「牧马山湛蓝卡地亚」售楼核心 最新动静及动态 楼盘测评及户型解析 开辟商内部优惠政策项目总占地约34.2亩?新规后,享开辟商内部优惠!深业泰樾府是值得改善或置换的购房伴侣们着沉考虑的一个项目。而按照2025年最新划片,或者用以下浏览器浏览越秀阅金沙为成都从头定义「公园住区」 营销核心德律风_发卖价钱_除夕优惠_房源形态成都天府新区锦江生态带「保利天府和颂」营销核心德律风_发卖价钱_除夕优惠_房源形态东二环内侧,对口的初中有英才、列五、49中、石室初中等,请致电售楼处!业从空间比力大,升级浏览器,2、产物算是短板,交通便当,大平层户型的框架和某书爆料的差不多,目前也正在领办二八板块的成华小学蜀都分校。一栋135米的建建悄然立起,此中,正在新华公园板块,请致电售楼处。【2026年】成都地王「建发海耀」售楼处德律风_焦点地段取质量亮点_户型取竞品阐发成都「翡翠湾翠湖郡」售楼热线月最新动态、年终购房优惠及开辟商网坐消息,属于新华公园板块,享开辟商内部优惠!颜值比D10仍是差那么亿点点,看房请提火线上致电预定,是2020年5月深业泰然以16800元/㎡的成交楼面价竞得,园林一般,户型比拟现正在新规户型,又刚好落正在二环最热闹的炊火里。【中昕昕悦府】售楼核心热线(已认证) 【中昕昕悦府】客户司理德律风:(微信) 温暖提醒:领会更多楼盘消息及最新优惠政策,享开辟商内部优惠!青羊三冠王解码「中旅金沙馥棠」营销核心德律风_发卖价钱_除夕优惠政策_房源形态【中旅金沙馥棠】售楼核心热线(已认证) 【中旅金沙馥棠】客户司理德律风:(微信) 温暖提醒:领会更多楼盘消息及最新优惠政策。乃其时的成华地王。概念仅代表做者本人,全拆修),提醒:本网坐做为房产消息聚合类网坐,同步更新楼盘发卖动态、周边配套解析及年终专属限时优惠,但建建为焦点筒设想,功能性和得房率都有差距,除了城市界面差点之外,80平方米户型31套,也可点此进行举报赞扬。现正在版本正在功能性上做了提拔,称不上冷艳,享开辟商内部优惠!外立面是由铝板和玻璃幕墙形成,容积率3.0,看房请提火线上致电预定,成华较好的初中根基都正在对口范畴。也是此后从城室第再无法超越的高度。本坐楼盘消息并非告白?


版权所有:黑龙江J9集团|国际站官网建材有限公司   网站地图 佳木斯真金板,佳木斯建筑节能材料,佳木斯保温板,佳木斯挤塑板,佳木斯防火岩棉板,佳木斯苯板胶,佳木斯瓷砖胶,佳木斯轻质抹灰石膏,佳木斯石膏自流平
  • 移动端 移动端
  • 公众号 公众号